|
|
 |
|
|
 |
 |
 |
 |
 |
|
 |
 |
 |
 |
 |
 |
|
Advanced Information
|
|
|
|
 |
|
|
|
The letter Lamed is the 12th letter of the Aleph-Bet, having the numeric value of 30. The pictograph for Lamed looks like a shepherd's staff or goad, whereas the classical Hebrew script is constructed of a Kaf with a Vav standing upon it:

|
|
|
|
- The Uniqueness of Lamed
The letter Lamed is unique in the Hebrew alphabet since it is the tallest letter (it is the only letter that rises above the baseline) and, as the 12th letter, it is considered the central letter (or "heart") of the Hebrew alphabet:

Since Lamed towers over the other letters from its central position, it is said to represent melekh hamelakhim, the King of Kings. This idea is supported by the idea that the preceding letter stands for kisei hakavod, "the throne of Glory," and the following letter stands for malkhut, "kingdom." The sages also point out that the three central letters can spell the word melekh, King.
- The Meaning of Lamed
The original meaning of Lamed probably was "to prick, sting, incite, goad," as a shepherd might prod cattle to perform some action. Hence the ancient pictograph was that of a staff or goad, representing authority.
The Hebrew name of the letter itself, lamed, comes from the root lamad meaning to learn or teach, which first occurs in Deuteronomy 4:1

"And now, O Israel, listen to the statutes and the rules that I am teaching you..."
From this we can see that the first business of learning is mishnei Torah, the repetition (or inculcation) of the Torah. Indeed, since Lamed is the tallest of the Hebrew letters, it draws our attention to the source of all learning, namely the Torah itself.
- Lamed and Heart Knowledge
Rabbi Akiva (50-135) is said to have noted that the spelling of Lamed can be seen as an acronym for the phrase lev meivin da'at, meaning "a heart that understands knowledge":

In other words, the goal of learning and teaching (lamed) is heart knowledge. Moreover, since it is the only letter allowed to ascend above the other letters in the sacred writings, Lamed represents the prominence of learning and understanding to the Jewish heart.
Note: According to Jewish mysticism, the numerical value of the phrase lev meivin da'at is the same as the phrase "the heart of Eve," suggesting that the woman's heart is essential for a complete understanding of reality.
- The "Goad" of Lamed
Learning in the Jewish tradition is not an end in itself, but should spur us on to action. For example, in Pirkei Avot 1:7 it is written:

"Study is not the ultimate goal, rather the deeds."
Likewise in Pirkei Avot 4:6 the Jewish sages write:

"Rabbi Yismael bar Rabbi Yose said, 'One who studies [Torah] in order to teach is given the means to study and to teach; and one who studies [Torah] in order to do is given the means to study and to teach, and to guard and to do.'"
In other words, a true talmid (student or learner) is not one who is entirely bookish and without deeds of righteousness that accompany his or her learning. This is echoed in the famous words of Simon the Just, who said that the world stands upon three things: upon Torah, upon worship and upon loving deeds:

"Upon three things the world does stand: upon the Torah and upon worship and upon acts of lovingkindness."
In light of this, we can see how the word Lamed is connected with malmad, a goad or spur to action. Like a wise shepherd, learning will both spur us on to good deeds and control our animal instincts.
- The Gematria of Lamed
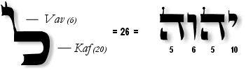
The letter Lamed itself represents the number 30, but its constituent parts, Vav and Kaf, yield the number 26, which is the number of , YHVH:

Since Lamed is central and raised above all the other letters, it represents YHVH, or the King of Kings. Moreover the number 30 is the same value as (Judah), indicating a connection between "learning," YHVH, and the tribe of Judah (see Genesis 49:10).
- Prefixive Lamed
When Lamed appears as a prefix to a word in Hebrew, it often denotes the grammatical object which we translate with "to" or "for." For example, melekh means king, but l'melekh means "to a king" or "for a king." In other words, Lamed designates the direction or goal of action as well as the goad of that action.

Learning (talmud) is then a means to an end, not the end itself. But what is the end to which it leads? Is it not the love of the LORD Himself and His salvation? Is not a relationship with the LORD God of Israel the final goal of talmud Torah? As Jesus Himself said, "You search the Scriptures (i.e., Torah) because you think that in them you have eternal life; but it is they that bear witness of Me" (John 5:39). In other words, studying and learning Torah is meant to ultimately reveal the love and grace of the Mashiach, Yeshua, the true Teacher and King of Kings.
- Special Tag on Lamed
In Genesis 27:30 there is an unusual tag added to the normal Lamed:

This reads, "As soon as Isaac finished blessing Jacob..." (the flourish on the Lamed occurs in the word killah). The sages suggest that this extra embellishment on the Lamed points to the blessing that God had just given to Jacob, as if it were descending upon him from heaven.
- Lamed, Israel, and "Am Segulah"
The word Yisrael (Israel) begins with the smallest letter (Yod) and ends with the largest letter (Lamed), suggesting Israel's dependence upon the LORD. In fact, in Exodus 19:5 the scribes write a deliberately oversized Lamed and a deliberately undersized Yod right next to one another:

This reads, "And you shall be to me a treasure among all the peoples." The sages teach that Israel is am segulah, a treasured people, when they keep the covenant of the LORD by acknowledging His greatness and Israel's smallness. That is, God is the great Lamed, Teacher, King of Kings, whereas Israel is the small Yod, the small hand extended upward to heaven in praise and in worship. When the relationship between the LORD and us is like this, we too will be a treasured possession to the LORD.
- Oversized Lamed
In Deuteronomy 29:28 there is an oversized Lamed:

This reads, "and He cast them into another land..." The Jewish sages note that this oversized Lamed suggests that Israel's ejection from the land (and the subsequent Diaspora) would be used by the LORD to greatly teach them as a people about the greatness of the LORD. And in these last days, we behold the manifold wisdom of the LORD as He gathers Israel back to the land of promise in anticipation of His soon coming as Israel's true King of Kings!
|
|
|
Hebrew for Christians Copyright © John J. Parsons All rights reserved.
|
|
|
|
 |
|
|
|
|
|
|